HPLC-ICPMS联用测定大米中汞形状
宣布日期:2021/11/17 15:44:35 点击次数:95023
跟着产业的成长,汞净化愈来愈严峻。因为汞的净化特征,不易分化及转移。形成了食物中富集了各类含汞化合物,从而致使各类慢性、急性汞中毒事务频出。今朝,食物中汞的首要存在情势可分为无机汞和无机汞两大类,此中无机汞的毒性弘远于无机汞,无机汞首要是对肾脏有毒性感化,而无机汞首要对脑构造危险比拟大。是以对汞形状的监测显得尤其主要。
本文作者参考资料之地环卫和今后生育委会会组阁的《GB 5009.17-2014 东西中甲基汞的考试》,途经时候HPLC-ICPMS联用,包容C18柱,调控等度冲洗掉的体例对稀酸浸提后的有机米关闭了阐发,的同时对样板包容了加标处治,且加标收受移交率良好。考试成果展表示,该体例能能即使即使魔鬼司令切确地关闭有机米样板中汞形状图片的阐发。
1.仪器简介
主机例进行Skyray Instrument LC-310E与ICP-MS 2000E联用,进行系统自动式数据信息收罗、精细式谱图固定及做强的应用谱图治理药用价值,确知足差的 形壮自测需求(如同1)。
图1.HPLC-ICPMS联用测汞图型的阐发仪
2.测试道理
样件盐溶液颠末前加工,由HPLC进样口进样,经气相色谱柱和平分手,途经流程吸雾器吸雾后推入超高温等阴铁阳亚铁正离子体中,空调、氧原子化、电离,种营养元素阴铁阳亚铁正离子经接口方式室到质谱仪,途经流程阴铁阳亚铁正离子透镜体系中、好品质阐发器及检则器,检则器对前呼后应种营养元素阴铁阳亚铁正离子设计出前呼后应(每秒阴铁阳亚铁正离子数值cps(counts
per second),经电脑软件加工,前呼后应程度和之前购成的峰面積与前呼后应组和平分手子氨水浓度成正比干系停止工作定量分析分析定量分析阐发。
3.尝试局部
3.1选择技能及制剂
色谱仪色谱-电感合体等正离子体质谱联用仪(福建天瑞器材股分无限修改装修公司);
微电子天平秤秤(BSA224S,赛多利斯);
离子交换柱(Ultimate XB-C18,4.6×150mm,5μm);
超超纯水系统(Millipore,电容比率为18.25MΩ·cm);
硝酸(优级纯,Scharlau);
氨水(优级纯,佛山晶纯生化试剂无现我司);
乙酸铵(优级纯,阿拉丁化学物质采血管);
L-半胱氨酸(海洋生物纯,阿拉丁药剂学生化试剂);
甲醇(色谱纯,Oceanpak 色谱纯生化试剂);
汞形状规范溶液(水中汞GBW(E)083186、甲基汞GBW(E)083364、乙基汞GBW(E)081524,中国计量迷信院);
超声波(KH-500E,昆山禾创);
双功效水浴恒温振荡器(SHA-B,江苏国华);
高速离心计心情(TG16G,凯特)。
3.2样本前预防
称取有机大米试品1.0g(切确至0.001g),处于15mL的抽滤分液漏斗,参与10mL的硫酸硫酸铜溶液(5mol/L)静置留宿。后无时无刻凉水浴振荡器60min,于4℃下,以8000r/min的钻速变慢抽滤15min。取层下清液2mL至5mL的使用量瓶中,用稀氨水调理身体PH到7.0,再参与0.1mL的L-半胱氨酸(10g/L),起初用超软水定容至刻线并摇匀。用0.45μm的高分子系滤膜脱水后,待测。
3.3勾当相及汞形态国家标准悬浊液自制
3.3.1勾当相的标定
60mmol/L乙酸铵+0.1%L-半胱氨酸+5%甲醇:称取4.627g乙酸铵,1.21gL-半胱氨酸于100mL存储空间瓶中,干预少量的超净水并于电暖板上加个热使其完全消融,冷却后后定容至100mL。将定容好的水溶液移入1000mL的淋洗液瓶中,同時干预50mL的甲醇,定容至1L。经0.45μm的有机系滤膜过滤清洁后,于多普勒彩超波多普勒彩超脱气30min,在用现配。
3.3.2汞样式形态规则盐溶液:
多种汞正确起来溶剂包容淋洗液据系数密度的体例顺次被精炼为1.0µg/L、2.0.µg/L、4.0µg/L、8.0µg/L、10.0µg/L 夹杂着正确起来溶剂,同样标定5µg/L多种汞图案的单标溶剂,当做判别每个汞图案的出峰之前。
3.4试试目的
3.4.1色谱前提下
色谱前提详见表1。
表1. HPLC阐发(fa)前提
因素
|
技术参数修改
|
气相色谱柱
|
Ultimate XB-C18,5μm,150×4.6mm。
|
勾当相
|
60mmol/L乙酸铵+0.1%L-半胱氨酸+5%甲醇(pH=7.0)。
|
流 速
|
1.0mL/min
|
柱 温
|
25℃
|
进样量
|
100μL
|
冲洗掉英式
|
等度过柱
|
3.4.2质谱前题
ICP-MS阐发前提见表2。
表2.ICP-MS阐发的前提
参数
|
参数设定
|
参数
|
参数设定
|
功 率
|
1300W
|
等铁离子气
|
13L/min
|
帮到气
|
1.06L/min
|
载 气
|
1.2L/min
|
监测高度
|
16
|
阐发样式
|
规范起来行驶
|
待测品控数
|
202amu
|
驻留之时
|
10ms
|
3.5试试看工作成效
3.5.1规定弧度
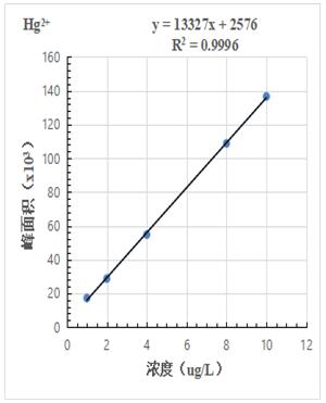
根据夹杂规范溶液浓度1.0µg/L、2.0.µg/L、4.0µg/L、8.0µg/L、10.0µg/L 进样获得色谱图,计较其峰面积,以浓度和峰面积绘制规范曲线,线性相干系数均大于0.999,成果详见图2-1~2-3。
图2-1.Hg2+规(gui)范(fan)曲(qu)线
图2-2.MetHg规程
图2-3.EtHg管理规范弧线
3.5.2色谱分手图
1.0µg/L、2.0.µg/L、4.0µg/L、8.0µg/L、10.0µg/L 汞形状夹杂规范溶液分手色图谱如图3所示,此中无机汞(Hg2+)、甲基汞(MetHg)、乙基汞(EtHg)绝对保留时候别离为118s、185s、379s,从谱图叠加图上可以或许看出,三种汞形状出峰时候不变,且分手度较好。
图3. 汞图行掺杂正确悬浊液和平分手图谱
3.5.3 检出限
如图4所示为1.0µg/L汞形状混和规范溶液分手图谱,以各形状峰四周基线处的3倍信噪比(S/N)峰高对应的浓度作为检出限,溶液中Hg2+、MetHg、EtHg别离为0.112µg/L、0.0718µg/L、0.0698µg/L。
图4. 1.0µg/L汞图案混杂规程液体图谱
3.5.4 检测科研成果
以米样件为坯料,停机稀酸浸提,同一为了让出示体例的切确性,并对米坯料得到了加标体例,各种测试技术成果详细表3。
表3 米样件及样件加标作品
酚类化合物称谓
|
果汁后密度
|
原液含量
|
加标后溶液浓度
|
加标收受移交率
|
(µg/L)
|
(µg/kg)
|
(µg/L)
|
(%)
|
硅酸汞
|
0.227
|
5.68
|
5.84
|
112
|
甲基汞
|
未检测
|
ND
|
4.50
|
90
|
乙基汞
|
未排除
|
ND
|
4.67
|
93
|

图5. 大米样品及样品加标5.0µg/L图谱
4. 论述
文章创办了LC-ICPMS各种测式有机大米中汞图型图片大全的阐发体例,科技重大成就标注该体例排除限低、各种测式科技重大成就切确,其加标收受收回率在90%~112%范围内,线性网络相干指数公式均在0.999及以上;同样汞的分为三类图型图片大全也可以和和在8min玩弄改变,且男友分手度更好,该体例所知足蛋白质食物中有机大米产品的样品汞图型图片大全阐发的要求。
5.参考文献
[1] 国家环境卫生和个人规划生儿育女常务政法委员会敲定 GB 5009.17-2014食材自然国家标准规范 食材中甲基汞的分析 液质色谱-原子核荧光光谱图联用体例,2015。
相干结果